こんにちは、ジェイアール東日本企画「キクコト」編集部です。
今回のコラムのテーマは「地方採用」です。
地方で採用に取り組む企業の人事・採用担当者にとって、
「地方で求人を出しても、応募が来ない」
「応募はあるが、なかなかいい人材が見つからない」
「採用をしても、定着が難しい」
という問題は、常に付きまとう悩みです。
昨今の厳しい地方企業の採用環境で、これらの悩み・課題はより深まっています。
当コラムはこうした地方採用の厳しい前提を直視しつつ、自社の応募を増やすために「いま地方企業の採用の現場で本当に効く」設計論と施策を解説します。
ぜひ最後までご覧ください。
今すぐ地方採用施策を知りたい方はこちら
↓ 地方採用にはJRE Ads ↓
資料ダウンロード

1. 地方採用が難しくなっている背景
1-1. 人口減少・若手流出による地方採用母集団の縮小
地方で「募集を出しても自社に応募が来ない・人材が見つからない」のは、担当者の腕前や媒体選定だけの問題ではありません。まず、求職者全体・当該地方の母集団全体が縮小しているという現実が土台となっています。
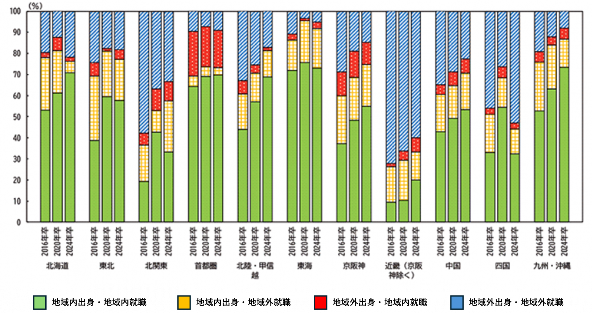
若年層の都市圏集中が続いている
2025年の国内人口移動では、40道府県が「転出超過」。東京都は6万5,219人の転入超過となり、一極集中が継続していることが示されました(住民基本台帳ベースの報道)。また、内閣府の地域課題分析レポート(2024年秋号)も、東京圏以外の学生は、東京圏に進学するとそのまま東京圏で就職する割合が高く、東京圏を含む関東の学生は、他の地方に進学しても、就職でまた関東に戻ってくる場合が多いと分析しており、東京圏は若い世代の人口が流出しないという構造が見えます。
参考:総務省|報道資料|住民基本台帳人口移動報告 2025年(令和7年)結果

※上図の地域内出身(就職)とは、出身(就職)地と大学のキャンパス所在地が同じ地域内であることを指します。
出典:内閣府「地域課題分析レポート(2024年秋号)第2章 (3)仕事のための地域選択」
さらに、ニッセイ基礎研究所のまとめでは、20代前半の社会減(=就職期の人口流出のこと)が地方側で顕著で、特に女性の純減が大きいという課題が示されています。これは将来の婚姻・出生の減少リスクとも連動するため、「若手がいない」だけでなく長期的な地域の人口問題につながります。
出典:ニッセイ基礎研究所「都道府県人口減の未来図」-2024年都道府県20代人口流出率ランキング
U・Iターン意向は一定のポテンシャル
一方で、学生・若年層のデータではUターン・地元企業就職を希望する割合が6割前後とされ、Iターンに関心を持つ人口も4割程度。関心の背景には、生活コストや家族支援、ワークライフバランス、魅力ある雇用機会と情報の届き方次第で、地方企業採用の応募へ動く余地が見えます。
2025年卒大学生Uターン・地元就職に関する調査 | マイナビキャリアリサーチLab
1-2. 地方採用における求人倍率の地域差と“採れない職種”の増加
採用市場の「今」を測る基本指標は有効求人倍率です。
2025年時点の公表によれば、全国の有効求人倍率は1.19倍(2025年12月)で、1倍超(超過需要)を維持。都道府県差を見ると、就業地別では最高が福井1.80倍、最低が福岡0.98倍。令和7年平均の有効求人は前年に比べ3.5%減となり、有効求職者は1.2%減となりました。(厚生労働省、公的統計)。
出典:厚生労働省「一般職業紹介状況(令和7年12月分及び令和7年分)」
ただし解釈には注意が必要です。有効求人倍率とはハローワークの統計になるため、民間経由の入職や求人(広告・エージェント・アグリゲート型サイト等)は含まれません。倍率の低下=需要後退と単純化できない場合があります。内閣府の分析でも、ハローワーク経由の入職比率が10年で大幅低下し、民間経由が増加していると指摘されています。(全体の約83%の人がハローワーク以外の手段で就職)
「どのチャネルに露出しているか」で見かけの需給が変わるのが実態です。
参考:リクルートダイレクトスカウト「有効求人倍率とは?有効求人倍率からわかることや計算方法、転職での活用法解説 」
職種面では、帝国データバンクの調査によると、建設・IT・運輸・警備など多くの業界で人手不足が続いています。また、地方では同じ職種でも都市部より賃金が低くなるなどの条件面の影響から、その傾向がさらに強く出て、大きな課題となっています。
このため、同じ地域・同じ職種内で企業間の人材獲得競争にさらされ、地方企業の採用においては求人票の設計・露出媒体・オファーの出し方を変えない限り、埋没しやすくなってしまうでしょう。
出典:帝国データバンク「人手不足に対する企業の動向調査(2025年10月)」
1-3. 都市部との待遇格差・働き方ギャップの拡大
前項で軽く触れたとおりですが、賃金水準は応募・内定承諾の確率に直結します。
厚生労働省の「賃金構造基本統計(令和6年)」では、都道府県別の平均賃金に明確な差があり、東京都が最も高水準、多くの地方・県は月収30万円を下回る層が相当数を占める構図が示されます(男女計平均、各区分)。

国土交通省の整理では、給与水準の差は産業構造・生産性の差と相関しており、金融、情報通信、専門・科学技術サービスなどの高生産性産業が首都圏・都市部に集中しているため、地方の賃金が相対的に低くなりやすいと説明されています。
一方で「働き方(テレワーク/ハイブリッド)」については、コロナ後に一時的な回帰がありつつも、「雇用型テレワーカーの割合は24.6%(2024年度)」で下げ止まりの傾向。週2日前後のハイブリッドが定着し、通勤時間が長いほどテレワーク率が高い傾向も続いています。
つまり、都市部企業は賃金+柔軟な働き方の両輪で人材を惹きつけやすい一方、地方企業が「フル出社・低柔軟性」のままだと相対的な魅力差が広がる構図になりやすいです。地方企業であっても、一部職種のリモート許容/ハイブリッド運用を設計すれば、都市部在住の人材を「勤務地:地方」の求人に惹きつける余地が出ます(具体的な設計の仕方は後述します)。
2. 地方採用の応募を増やすために最初に見直すポイント
前項までの前提・課題を踏まえ、ここからは実践編です。
いったい、どうやって地方採用の効率を上げていけばよいのか?
地方採用で「まず効く」優先順位は ①ターゲット人材の再定義→②競合・相場の見える化→③求人票の3ステップです。媒体・広告の費用を上げる前に、応募率を上げるには、設計変更から着手するのが重要です。
2-1. ターゲット設定の見直し:誰を採りにいくのかの再定義
「誰でも歓迎」は誰にも刺さりません。
誰を採用したいのか、自社のターゲット人材の「ペルソナ」をしっかりと考え、見直しましょう。
地方採用で勝つためのターゲット人材の再設計は、ペルソナ×動機×到達チャネルを揃えることです。
マーケティングにおける「ペルソナ」とは、詳細に設定した架空の求職者人材のプロフィールのことです。年齢や性別、居住地、年収、家族構成といった個人の状況を示す一般的な情報だけではなく、価値観や性格、習慣やライフスタイルなど、生活にまつわる細かな情報の集積で構成されます。「その人材が本当のところはどんな人間なのか」までリアルにイメージできるような架空のプロフィールが「ペルソナ」です。

ペルソナを“実在人物レベル”に落とす具体例
例えば以下のようなペルソナを考えてみます。
28歳/首都圏在住/地方出身(東北)/製造業の生産技術2年目/結婚予定/家賃月12万円に疲弊/在宅週1–2希望
重視:年収より生活コスト圧縮、通勤短縮、実家支援、技術が活かせること
不安:年収ダウン、職場の雰囲気、キャリアの停滞
これだけでもかなり求職者の具体性が増しますが、さらに、求職者の就職動機を「金銭×非金銭」の二軸で設計するとよいです。
金銭面:年収・賞与・各種手当・引越/赴任費用補助・社宅・子育て手当
非金銭面:通勤・住環境・在宅可・技術が活かせるかどうか・スキル教育・裁量・チーム文化、など
上記で描いた例のようなレベルまで具体化すれば、「何を求人票のタイトルに入れるか(在宅週2/年休120/借上社宅あり、など)」「どの媒体で接点を作るか(スカウト/SNS/U・Iターン狙い、など)」が自ずと決まってきます。
都市部に居住の人材にとって、地方企業へのU・Iターンは年収ダウンが壁になりやすいです。引越補助+社宅+在宅週2+保持スキルの継続、といったセットで条件提示できれば、人材の地方採用への応募障壁は一気に下がってきます。
採用マーケティングのペルソナ設計について詳しく知りたい方は、以下のコラムを参考にしてください。
2-2. 競合分析:同業・同地域との比較で弱点を把握
ペルソナ設計のあと、もしくは並行して、自社の競合分析を行いましょう
求職者は同一地域×同職種で横比較しますので、次の3点を必ず数値化して把握し、求人票やオファーに反映します。
賃金・手当の相場(基本給・固定残業の内訳・モデル年収)
→ 厚労省の賃金構造基本統計(都道府県別・職種別)でベースを確認しつつ、実際は媒体上の上位表示求人を横断して「求職者が見ている相場」を把握するのが現実的です。
東京都を基準にした差分ではなく、同県内上位3件との差を求人票の設計で埋める(例:手当を分解して見せる/モデル年収を提示する)のが有効です。
働き方の柔軟性(リモート・時差・直行直帰)
→ 総務省・国交省の指標が示すように、オフィス・リモートのハイブリッド勤務の割合は下げ止まり、世の中に定着してきました。
週1–2日のリモート許容や時差勤務をわずかでも打ち出せれば、地方企業でも相対優位になりやすいです(出社フル必須が多い職種ほど効果大です)。「社内規定上は可能」でも求人票に書かなければ求職者にとっては存在しないのと同じですので、ぜひ各サイトに記載するようにしましょう。
非金銭的ベネフィット(住・通・家族&教育・地域コミュニティ)
→ 賃金・手当以外の面での、競合が打ち出しているベネフィットも分析しましょう。
家賃・駐車場・通勤時間・医療/教育アクセスの客観データを収集し、求人票に「数字」で記載するのが有効です。「ターゲット人材の、地方へのU・Iターンの障壁(情報不足)」を解消するほど地方採用の応募率は上がります。
2-3. 求人票の改善:応募率が上がる情報の出し方

以上のペルソナ設計と競合分析を経て、自社の求人票を改善しましょう。
ポイントは以下5点です。
①タイトルと冒頭90〜120文字が非常に重要
ハローワークやアグリゲート型(Indeed等)、多くの転職サイト・スマホ表示では、「職種名・冒頭要約が最も重要」です。
ハローワークの公式ガイダンスでも、職種欄の28文字/冒頭90文字前後の要約に最重要情報(業務像・最大の魅力・代表条件)を詰め込むべきと明示されています。検索されやすい一般的職種名+具体修飾+数値条件の3点盛りが基本です。
悪い例:「製造スタッフ募集」「営業事務を行っていただきます」
良い例:「【土日休/残業10h】スマホ部品の製造オペ/未経験OK・研修有」
アグリゲート型サイト・求人検索エンジン運用でも、クリック率(CTR)・応募率(CVR)はタイトル×冒頭要約で決まってきます。
・数字(年収・残業・休日日数)
・働き方(週2リモート/直行直帰)
・魅力フレーズ(固定顧客/未経験OK)
を1つは必ず含める設計にしましょう。
② 仕事内容は「5W1H+1日の流れ+ツール+定量」で解像度を上げる
「業務全般」「やりがい」では応募者は動きません。
・誰に(顧客)
・何を(製品/サービス)
・どう(手段/ツール)
・どれくらい(件数/時間)
を、箇条書きで具体化します。
定量情報(訪問5件/日、架電30件/日、フォークリフト使用、CADはAutoCADなど)の提示はミスマッチ防止=定着率にも効きます。厚労省や各種実務ガイドも具体・数値・イメージ喚起を推奨しています。
③ 条件は「相場比較で見劣りしない最低ライン+透明性」
ターゲット人材の応募意思を最も揺さぶるのは賃金・休日・残業の条件です。
地方は賃金で都心に後れを取りがち、という課題があるので、総合提示(モデル年収・賞与実績・昇給幅の例・手当内訳・固定残業の時間/金額)で不安を解消しましょう。
年間休日・有休取得率・残業実績の数値化、試用期間の条件差の明記も必要です。「書いてない」=競合企業と比較されて不利となります。
④ 「地方の非金銭的な強み」を数値で言語化
例:
「家賃相場:都心平均の1/3で2LDK可」
「通勤:片道15分/年間**-200時間の移動削減」
「駐車場無料」
「子育て支援(待機児童ゼロの自治体)」
「実家支援が得やすい」
など。
地方へのU/Iターンの動機は「生活コスト・家族近接・安心感」が上位に来ます。求人票の“企業PR”欄を地域PR欄として使う意識で、金額換算も交えると、年収差の心理的ギャップを相殺できます。
⑤ 写真・動画・社員声で“リアル”を可視化
求職者は「会社の雰囲気」を重視し、サイトやSNSや動画での事前確認が当たり前になりました。現場写真・1日の流れショート動画・QAの埋め込みは応募率に直結。Z世代中心に、SNS経由で「入社意欲が高まる」が9割近いというデータもあります。
一方、地方企業でSNS活用率はまだまだ低く、やれば差がつく領域でもあります。
出典:PR TIMES【26卒の就活生747名に調査】約9割が企業アカウントをみて入社意欲が増したと回答 | 株式会社リソースクリエイションのプレスリリース
すぐにできる「求人票3点セット」
・タイトルに「職種+具体+数値」を必ず1つ入れる(例:既存顧客9割/直行直帰)
・冒頭90–120文字に「誰に・何を・どう・条件の目玉」を凝縮する
・仕事内容の箇条書きに定量(件数/時間/ツール)を必ず入れる
より細かい「求人票チェックリスト10問」
① 募集職種ごとにペルソナは定義済みか?(年齢・経験・家族・転職理由)
② 転職動機の上位3つ(金銭・非金銭)を求人票に反映したか?
③ タイトルにペルソナが反応するキーワード/数値が入っているか?
④ 冒頭90–120文字で“何を・誰に・どう・目玉条件”を提示したか?
⑤ 仕事内容は定量+ツール+1日の流れで描写したか?
⑥ 年収・手当・固定残業の内訳とモデルを透明化したか?
⑦ 在宅/時差/直行直帰など柔軟性を可能な範囲で入れたか?(週1–2でも可)
⑧ 地方の生活優位(家賃・通勤)を数値で書いたか?
⑨ 自社サイト・SNS・写真・動画で“雰囲気”を伝えているか?(採用広報と連動)
⑩ 媒体KPI(CTR/CVR)を週次で点検しているか?
3. 地方採用で効果が出やすい集客チャネル
3-1. 地域に強い求人媒体・スカウトサービスの活用
まず、主要媒体・スカウトサービスの運用方法について改めて整理します。これは最初に実践しましょう。
■ ハローワーク(地元顕在層):コストゼロ、地域の顕在層に強い。
戦法:
スマホ表示で最初に見える領域(職種28文字/仕事の内容30文字×3行)に「検索語+具体+数値」を詰め込む(例:「【土日休/残業10h】自動車部品の製造オペ|未経験可」)。職場見学の受入を明記すると離職予防&応募増に直結。
ハローワーク公式が仕事の内容の冒頭30文字×3行と、職種28文字の重要性を明示しています。
■ アグリゲート型サイト(Indeed 等):検索行動を拾う地方採用の母集団形成の要
戦法:
タイトル×冒頭の工夫で「クリック率(CTR)」を、仕事内容の定量化で「応募率(CVR)」を上げる。
運用KPI目安:
CTR≥1%/CVR≥1%を下限にしましょう。
1要素=1テスト(タイトルの数字有無など)を1–2週間で回す。応募開始率と完了率を分けて原因特定し、 → 小刻み改善が定石です。
■ ダイレクトリクルーティング:地方UIターン層に刺す“ピンポイント打ち”
戦法:
件名に「在宅週2可/社宅・引越費補助/家族近接」など転職動機に直接ヒットするワードを入れ、最初の1スクロールで「生活価値×柔軟性×継続可能な職務」を提示。
本コラムでも既に記載したとおり、学生・若年層のデータでは地方企業へのUターン・地元就職を希望する割合が6割前後とされ、Iターンに関心を持つ層も4割程度です。費用対効果はターゲット人材ごとの「精度」で決まるため、ペルソナ別テンプレートを複数用意しておくとよいでしょう。
実務Tips:
媒体横断で同一KPI(CTR/CVR)を置き、最も弱い指標から改善。
CTRが弱い=タイトル/冒頭を改善
CVRが弱い=求人票中身/応募フォームを改善
3-2.U・Iターン層に効く、採用Web広告
U・Iターン層の人材のボリュームは前述したとおりで、積極的にターゲティングしていくべきですが、上述のダイレクトリクルーティング施策だけでは、競合企業に埋没して成果が出ないという課題があります。
また、ターゲット人材が誰なのか分かっていても、その人たちに上手くアプローチできない、というのもよくある課題です。
そのような地方採用の課題に対応するのが、「JRE Ads」です。
JRE Adsとは、JR東日本グループが保有する、移動や購買などのユーザーデータを運用型Web広告に活用するサービスです。
JR東日本グループが管理・運営するポイントサービス「JRE POINT」に登録されたユーザーのデータを基点に、そのユーザーの鉄道や改札でのSuica利用データや、ECサイト「JRE MALL」での買い物履歴などからユーザーのターゲティングが可能です。

・JRE Adsのメリット
採用広告におけるJRE Adsの主要なメリットはSuicaの移動履歴=確定データを用いた精度の高いターゲティングが可能、という点です。
一般的なジオターゲティング広告は、端末や提携アプリのGPS情報を基にした「推定データ」でターゲティングを行いますが、JRE Adsでは、交通系 IC(Suica)の乗降履歴、つまり「確定データ」を基に配信を行うため、駅利用者へのWeb広告としては非常に精度が高い施策となります。
たとえば「年末年始に青森県に帰省している理系大学生を対象にした地方求人広告」をJRE Adsを用いて実施する場合には「理系大学最寄り駅のSuica通学定期履歴」×「年末年始の【青森⇔東京】間のえきねっと利用」でセグメントしてオンライン広告を実施し、自社の採用サイトに誘引できます。
JRE Adsを活用した地方採用広告の事例やプランなど詳細については、以下のダウンロード資料でぜひご確認ください。資料は新卒採用向けの解説が中心ですが、中途採用にも使用できます。

4. “選ばれる理由”を作る採用ブランディング
ここまで、地方採用のための実践的な手法を紹介してきました。これらの手法を実施することで、競合他社に先行して、ターゲット人材にリーチすることができるでしょう。
しかし、これまでの手法はあくまで顕在層向けのものであり、自社のことを全く知らない人材に向けたアプローチは難しい場合があります。
就職は、新卒であれ中途であれ、求職者にとって非常に重要な決断です。自分の将来像・キャリアと照らし合わせたうえで、知っている中で最も良い企業を選ぼうとするでしょう。
求職者が、自分が知っている企業の採用枠に応募し、そこで内定が出れば就職活動は終了してしまいます。
つまり、自社がターゲット人材に知られている必要があります。
また、当然ですが、採用の目的はあくまでターゲット人材の入社・定着です。「この企業で働きたい」と思ってもらえなければ施策としての目的を達成したとは言えません。
自社の魅力・価値をターゲット人材に知ってもらい・認めてもらう=求職者に対して自社のブランディングを行う必要があります。
このような「企業が、働く場としての自社の魅力を、ターゲット人材に伝えるためのブランディング活動」を採用ブランディングと言います。
採用ブランディングに取り組むことで、ターゲット人材の企業認知を上げ、自社に対し、理解・共感・好意を持ってもらい、採用確度を高めることができます。エントリー数を増やし、その時点で自社を理解してくれる人を増やし、さらにその理解の結果、内定辞退者を発生しにくくする、という戦略です。
地方の企業間で優秀な求職者の奪い合いになっている昨今では、必須の戦略と言えます。
【採用ブランディングの例】
「三和エンジニアリング」新卒採用
・知名度が少ないという問題を解決するための取り組み
・70本を超えるTikTok投稿
・映画館やサンテレビでのCM放映
出典:PR TIMES「新卒採用「エリア」マーケティングへ! 届け「播磨エリア」の学生さんへ! 」
上記の例のように、どの地方企業も必死に人材を獲得するためのアピールをしていますので、他社の広告に埋もれないメッセージや表現を発信し、かつ、自社独自の魅力を理解してもらうことは非常に重要な課題です。
【採用ブランディングの効果 概念図】

当社ジェイアール東日本企画では、地方採用広告の個別施策だけではなく、このような企業の採用ブランディングのお手伝いを行っております。
採用ブランディングの進め方について、詳しく知りたい方は以下の資料をダウンロードしてください

まとめ
地方企業の採用の本質的な難しさは、人口動態と都市部への一極集中による構造問題にあります。
若年層の都市集中と地域別の求人倍率の差、賃金水準の地域差という課題は、地方企業の採用担当の努力で一夜に解決できるものではありません。
ただし現場でできることは明確です。
・ターゲット人材の再定義、競合・相場の調査を基にした求人票の改善
・ターゲット人材の集まるチャネルに適切な形で露出
・採用ブランディングに取り組む
これらの対策により、採用効率を改善することができます。
地方採用は、当社ジェイアール東日本企画にご相談を
当社ジェイアール東日本企画は採用ブランディングを軸とした地方採用戦略立案と実行、および各メディアの実施運用のプロフェッショナルです。
本コラムでもご紹介した「JRE Ads」や採用ブランディングについて、多くの企業をお手伝いしてきた実績がございます。地方採用にお困りの方はぜひお気軽にお問い合わせください。












